最近,我院李炜课题组在非平衡相变的机器学习中取得重要进展。研究成果“Supervised learning and unsupervised learning of directed percolation”于2021年5月27日发表在统计物理学国际权威期刊Physical Review E 上。
目前,得益于机器学习强大的处理庞大数据集的能力,它被用来处理凝聚态和统计物理中的复杂系统问题。机器学习已经被广泛运用于平衡相变模型(如 Ising model,XY model等等)中,然而关于非平衡相变的机器学习研究甚少。因此,李炜课题组以经典的非平衡有向逾渗(Directed percolation)模型为例,对其执行了监督和非监督学习。
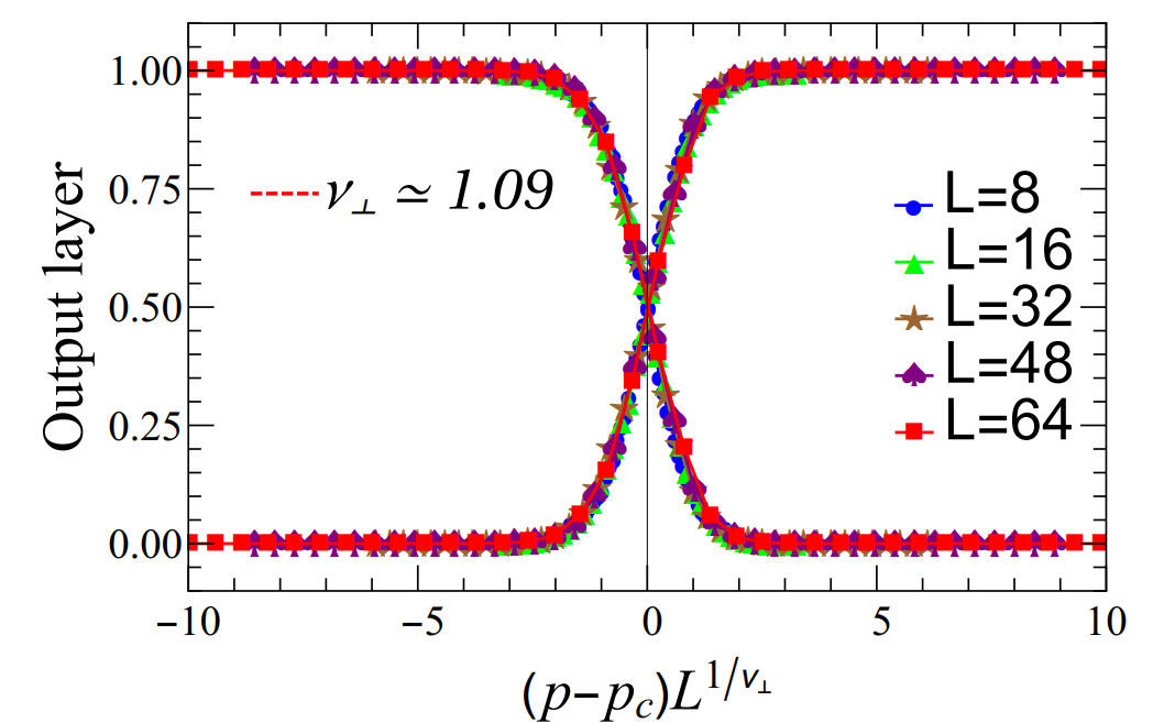
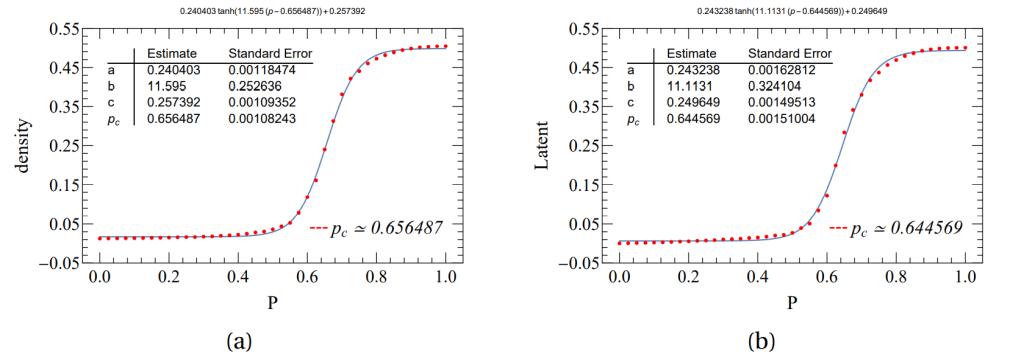
研究发现,机器学习中的监督学习(图一)能够准确地预测逾渗相和非逾渗相。运用适当的重标度方法则可以进一步得到空间和时间关联指数。在无监督学习(图二)中,无需对原始位型数据进行标签。通过限制隐藏神经元的个数,自编码神经网络则可以成功聚类原始位型以及捕获临界点。这为很多尚未获得分类的非平衡相变研究提供了一种新思路。

图一:五组不同尺寸 DP 系统的监督学习输出的 Data collapse 图。

图二:(a),(1+1)维键逾渗的蒙特卡洛模拟结果,其中晶格尺寸为 N=16,时间步为 T=121, 系综平均次数为 100。
(b),在相同尺寸、时间步和系综平均次数的条件下得到的自编码结果。
该论文由我院统计物理与复杂系统课题组博士生申建民、邓盛锋、张陶,李炜教授(通讯作者)共同完成。
该项研究得到了中央高校基本科研业务费专项资金(批准号:No.CCNU19QN029)、国家自然科学基金资助项目(No61873104)以及国家外国专家局和中华人民共和国教育部高等学校学科引进人才计划111项目2.0(No.BP0820038)的资助。
论文链接:https://journals.aps.org/pre/abstract/10.1103/PhysRevE.103.052140