近日,物理学院粒子物理研究所丁亨通教授课题组在强磁场下的格点量子色动力学(QCD)研究方面取得了重要进展。 研究成果以题为“Baryon Electric Charge Correlation as a Magnetometer of QCD”的论文,于2024年5月14日发表在国际期刊《物理评论快报》(Physical Review Letters)上。
在相对论重离子非对心碰撞实验初期,会产生强度达到10的17到18次方高斯的强磁场,这种强度接近强相互作用的量级,可能对强相互作用物质的性质产生显著影响。然而,实验上一直缺乏合适的观测量来探测重离子碰撞末态的磁场。
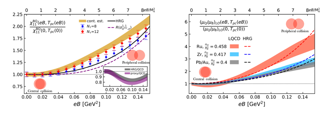
丁亨通教授课题组通过在赝临界温度附近、不同磁场下进行的(2+1)味格点量子色动力学(QCD)模拟,提出了重子数和电荷数的关联可以作为QCD的磁力计(Magnetometer)。研究表明,通过与强子气体模型的比较,重子数和电荷数的关联对磁场的依赖主要来自于带双电荷的Delta(1232)重子。虽然Delta(1232)重子的寿命很短,无法在实验中直接探测,但其主要衰变产物——质子和π介子可以被实验探测到。通过考虑共振态粒子的衰变,研究发现质子和π介子能够携带母体粒子的主要信息,因此可用于探测末态磁场的强度。
此外,通过格点QCD计算得到的电荷化学势与重子化学势之比亦对磁场变化非常敏感。该物理量与守恒荷的涨落和关联相关,在实验中可以通过将磁场强度作为额外参数,对末态强子产额进行热拟合来获取。

附图展示了重子数和电荷数的关联(左图)和电荷化学势与重子化学势之比(右图)对磁场强度的依赖。磁场强度一般从中心碰撞到边缘碰撞逐渐变大。
该论文由丁亨通教授及其课题组成员——博士生顾锦彪(通讯作者)、Arpith Kumar博士、李胜泰博士和刘俊宏博士共同完成,华中师范大学为该论文的唯一完成单位。格点QCD模拟与计算主要依托华中师范大学核科学计算中心(NSC3)和武汉超算中心进行。该研究得到了国家自然科学基金委项目(12293064,12293060,12325508)和科技部项目(2022YFA1604900)的资助。
论文详见https://journals.aps.org/prl/abstract/10.1103/PhysRevLett.132.201903
华大物院党委融媒体中心
华大物院团委宣传中心
通讯员|王 棣
责 编|甘杭川
审 校|俞云伟