近日,华中师范大学物理学院粒子物理研究所计晨副教授课题组在原子精密谱中的核效应研究中取得了新进展。相关成果以“Nuclear Structure Effects on Hyperfine Splittings in Ordinary and Muonic Deuterium”为题,于2024年7月25日发表在国际权威物理期刊《物理评论快报》(Physical Review Letters)。
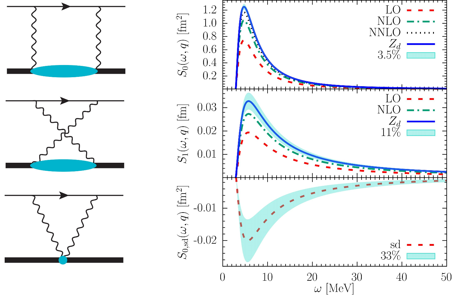
原子超精细劈裂现象来源于原子内核与轨道轻子的磁矩耦合,对其精密测量是探究核结构和检验束缚态量子电动力学(QED)的重要实验平台。然而,由于涉及核结构与核电磁激发的双光子交换效应的高阶修正,对原子超精细劈裂的QED预测和实验测量存在较大差异。传统理论在精确预测双光子交换效应方面一直存在困难。
计晨课题组通过引入光核反应理论,严格计算了双光子交换中的原子核虚激发过程。结合无Pi介子有效场核力理论,该研究预测了氘原子1S态与缪氘2S态超精细劈裂中的双光子交换核效应修正分别为41.7(4.4) kHz和0.117(13) meV,取得了与实验测量一致的结果。这一研究解决了氘与缪氘原子超精细劈裂测量与QED预测之间长期存在的不一致性,突显了核结构效应对原子超精细劈裂谱的重要贡献,标志着在利用精密光谱学探测核结构方面取得了重要突破。

这项研究为未来在原子光谱学领域中通过精密测量探测核结构提供了新的视角,并为今后一系列原子超精细劈裂测量中探究核结构效应构建了统一的理论框架。
华中师范大学物理学院计晨副教授为该论文的第一作者和唯一通讯作者,课题组成员硕士研究生张祥参与了此项工作,合作者包括美国田纳西大学的Lucas Platter副教授。华中师范大学为该论文的第一完成单位。该研究得到了国家自然科学基金委项目(12175083,12335002,11805078)的资助。
论文详见:
https://link.aps.org/doi/10.1103/PhysRevLett.133.042502
华大物院党委融媒体中心
华大物院团委宣传中心
通讯员|计 晨
编辑|沈欣怡
审校|俞云伟